LK-7 (GV-12)

Feltárt - felmérve

Térképek

1 térképek
PNG (0,1MB)
térk
Letöltés
térk

Fotók

2 fotók

3D barlangpoligon

3D barlangpoligon

Nincs feltöltött poligonfájl

Még nem lett .cave poligonfájl csatolva ehhez a barlanghoz.

Leírás

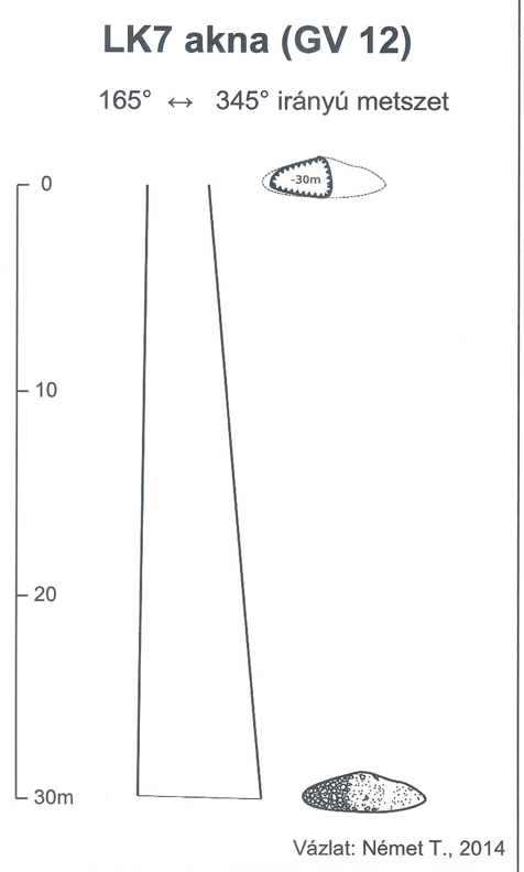
Két nagyobb szikla között nyíló egytagú akna. 2 × 2 m-es bejárata nehezen vehető észre, egy kis sziklapárkányról lehet beleereszkedni. Az alját törmelék tölti ki.
Bemérés: 2011 (Lakatos G. – Kiss T.)
Felderítés és dokumentálás: 2014 (Németh T. / FTSK)

Megközelítés

A makadámút elágazása mellett lévő nagy töbör Ny-i oldalában.

Alapadatok
Típus:
Feltártság:
Feltárt - felmérve
Mélység:
30,0 m
Hossz:
30,0 m
Bejárat tszf. magassága:
1093 m
Felfedezés éve:
2011
Területkód:
1.GV - Gornji Vrsanj

Bejelentkezés vagy Regisztráció a részletes információkhoz.
Helyszín

Koordináták:

42,448450°, 18,820383°

WGS84 formátumban
Metaadatok
Létrehozva: 2026. 02. 24. 11:53
Készítette: Gebe
Frissítve: 2026. 02. 24. 11:53